Nav

CAS:26549-21-3

 26549-21-3

26549-21-3

CAS号:26549-21-3

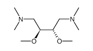
品名:(S,S)-(+)-2,3-二甲氧基-1,4-双(二甲氨基)丁烷2,3-dimethoxy-N,N,N',N'-tetramethylbutane-1,4-diamine

中文别名:(S,s)-(+)-2,3-二甲氧基-1,4-双(二甲基氨基)丁烷;(S,S)-(+)-1,4-双(二甲氨基)-2,3-二甲氧基丁烷;(S,S)-(+)-2,3-二甲氧基-N,N,N',N'-四甲基-1,4-丁二胺;

英文别名:(S,S)-(+)-2,3-Dimethoxy-1,4-bis(dimethylamino)butane;EINECS247-795-2;(S,S)-(+)-DDB;EINECS247-794-7;

分子式:C10H24N2O2

分子量:204.31

精确质量:204.184

Psa:24.94

EINECS号:247-794-7

密度:0.922g/cm3

沸点:206.3ºC at 760mmHg

闪点:71.1ºC

海关编码:2922199090

合成

温馨提示 ×
商品已成功加入购物车!
购物车共 0 件商品
去购物车结算
0.941107s
微信 ×

打开微信,点击底部的“发现”

使用“扫一扫”即可将网页分享至朋友圈